퍼셉트론
- 로젠블라트가 제안한 단일 신경망 구조의 인공신경망
- 생물학적 신경망과 유사점을 가짐
- 다수의 입력을 받아서 하나의 신호를 출력
- 입력 값들은 각 입력마다 다른 가중치(weight)를 각각 곱한 뒤 바이어스 값과 더함
- 더해진 총합은 활성화 함수(Activation Function)에 적용 활성화 수준 계산
- 활성화된 값은 출력값으로 연결

인공신경망을 학습시킨다는 것은 입력 값에 곱해지는 가중치를 반복적으로 조정하여 학습한다는 것
가중치는 입력 값과 목표 값이 주어지면 목표 값을 만족시키기 위한 학습 과정에서 결정
y = activationfunction(X × W + b)
활성화 함수
- 임계치 값에 따른 활성화를 결정
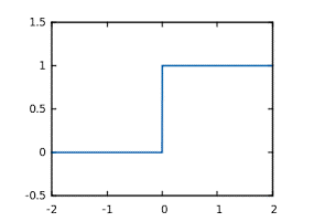
- 계단함수(step function) : 입력이 0 이상일 경우 1, 아닐 경우 0을 출력


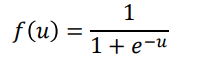
- 시그모이드 함수(sigmoid function) : 0~1사이 출력값이 매끄럽게 변화함, 따라서 미분이 가능하여 인공신경망에 널리 사용됨


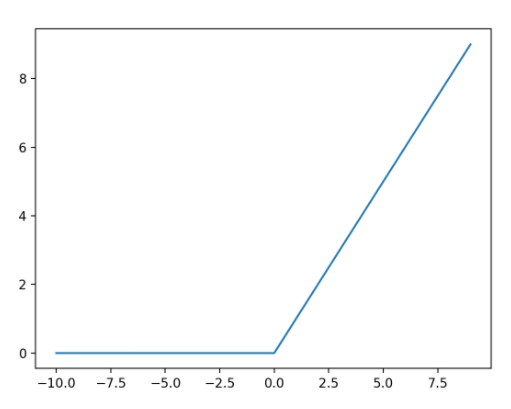
- 램프함수(ramp function, ReLU) : 총합이 0보다 작거나 같을 경우 0을 할당, 0보다 큰 경우 그 값을 출력으로 사용, 단순하고 계산량이 적기 때문에 시그모이드 보다 학습이 빠름, 연산량이 많은 딥러닝 네트워크에서 주로 사용


단층 퍼셉트론의 한계는 XOR 연산을 위해서 2개의 선형함수가 필요, 따라서 한 개의 선형 영역으로는 나눌 수 없고 비선형 영역으로 나누어야 함. 따라서 다층 퍼셉트론이 필요함
다층 퍼셉트론
- 선형 분리가 가능하지 않은 경우 다층 퍼셉트론 필요, 인공신경망 구조
- 입력층(Input layer), 하나 이상의 은닉층(hidden layer), 출력층(output layer)로 구성

'Deep Learning' 카테고리의 다른 글
| 심층 신경망 (0) | 2022.02.20 |
|---|---|
| 다층 인공 신경망 (0) | 2022.02.12 |
| 회귀 분석 (0) | 2022.02.08 |
| 딥러닝 프레임 워크 (0) | 2022.02.04 |